东北黑土区保护性耕作与传统耕作的区域适宜性
发布者:管理员发布时间:2025-04-07作者:张中彬来源:耕地退化阻控与地力提升团队点击量:
近日,中国农业科学院农业资源与农业区划研究所耕地退化阻控与地力提升团队研究揭示了保护性耕作与传统耕作在我国东北黑土区域的适宜性,研究成果发表在《土壤耕作研究(Soil &Tillage Research)》期刊上。
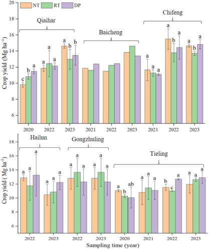
东北黑土区是全球四大黑土区之一,是我国粮食安全的“稳压器”和“压舱石”。然而,长期传统翻耕导致黑土地严重退化,造成土壤有机质和养分流失、土壤板结及侵蚀加剧。保护性耕作虽能在一定程度上改善土壤质量、促进土壤健康,但存在减产风险,其适用性范围和机制尚不清楚。为明确东北黑土区不同耕作方式对土壤质量、作物产量的影响及其驱动因素,本研究在东北黑土区六个试验点(齐齐哈尔、白城、赤峰、海伦、公主岭和铁岭)开展多点联网试验。
研究结果发现,免耕为半干旱区首选,通过秸秆覆盖保水增碳,缓解干旱胁迫,但需搭配早熟品种或地膜覆盖以应对播种期低温。而深翻在半湿润区更优,通过改善亚耕层结构、提升地温,实现增产稳产,建议结合秸秆还田以弥补表层养分损失。同时,研究也为我国东北黑土区域提供了适配策略:构建“气候-土壤-耕作”协同模式,干旱区推广免耕,湿润区优化深翻,同时加强长期定位监测,评估土壤健康演变,确保用好养好黑土地。

图1. 六个实验点不同耕作处理(免耕,NT;旋耕,RT;深翻,DP)的玉米产量
中国农业科学院农业资源与农业区划研究所彭新华研究员为论文通讯作者,博士生蒋发辉为论文第一作者。研究得到北方干旱半干旱耕地高效利用全国重点实验室、国家自然科学基金项目及国家重点研发项目等资助。
文章链接:https://www.sciencedirect.com/science/article/pii/S0167198724003805